Posted by Harshitha D 4 days, 6 求方程xdydx=e^y dx的通解 _____ 解∵xdy/dx1=e^y ==>xdy/dx=e^y1 ==>dy/(e^y1)=dx/x ==>e^(y)dy/(e^(y)1)=dx/x ==>d(e^(y)1)/(e^(y)1)=dx/x ==>ln│eWhat is the lewis structure for hcn?
What Is The Solution Of The Differential Equation Dy Dx 1 E X Y Quora
If e^x e^y=e^x y find dy/dx=-e^y-x
If e^x e^y=e^x y find dy/dx=-e^y-x- $ \frac{dy}{dx}= e^{yx} $ with the initial condition that y(0) = ln(4)?Dy/dxy=e^_x : ^解∵2113原方程的齐次方程是dy/dxy=0 ==>dy/y=dx ==>ln│y│=xln│C│ (C是积5261分常数) ==>y=Ce^(x) ∴此齐次方4102程1653的通解是y=Ce^(x) 于是,根据回常数变易法,设原方程的解为 y=C(x)e^(x) (C(x)是关于x的函数) 代入原方程,化简得 C'(x)=1 ==>C(x)=xC (C是积分



Http Www Csun Edu Dvanalp Ece 450 Ece 450 Hw Sp 15 Ece 450 Hw3 Solutions V4 Sp 15 Complete Pdf
Davneet Singh is a graduate from Indian Institute of Technology, Kanpur He has been teaching from the past 10 years He provides courses for Maths and Science at TeachooGet answer If the curve satisfying (1e^((x),(y)))dxe^((x),(y))(1(x),(y))dy=0 passes through (1,1) then 9y(2)e^((2),(y(2)))e is equal toShare It On Facebook Twitter Email 1 Answer 1 vote answered by Jyoti (303k points) selected by Vikash Kumar Best answer Given,
E^xe^y=e^xythen prove that dy/dxe^yx=0 Ask for details ;Get an answer for 'solution dy/dx=e^yxe^yx dy/dx equls to e two the power yx plus e two the power yx' and find homework help for other Math questions at eNotesCorrect answers 1 question Which of the following is the solution to the differential equation dy/dx=e^(yx) with initial condition y(0) = ln4 A) y= xln4 B) y=xln4 C) y = ln(e^x5) D) y = ln(e^x3) E) y = ln(e^x3)
Click here👆to get an answer to your question ️ If x = e^ y e^ y to∞ , where x>0 , then find dy/dxDy/dx=e^(xy)=e^x*e^y 所以 dy/e^y=e^xdx 即e^(y)dy=e^xdx 所以e^y=e^xC 所以e^y=Ce^x 所以y=ln(Ce^x) 更多追问追答 追问c?Z e ?y dy = Z e ?x dx ?e Solved Expert Answer to Express dy dx = e y?x = e y e ?x in the differential form e ?y dy = e ?x dx Integrate to obtain the general solution Get Best Price Guarantee



Ocw Mit Edu Courses Mathematics 18 02sc Multivariable Calculus Fall 10 2 Partial Derivatives Part C Lagrange Multipliers And Constrained Differentials Session 42 Constrained Differentials Mit18 02sc Pb 42 Comb Pdf



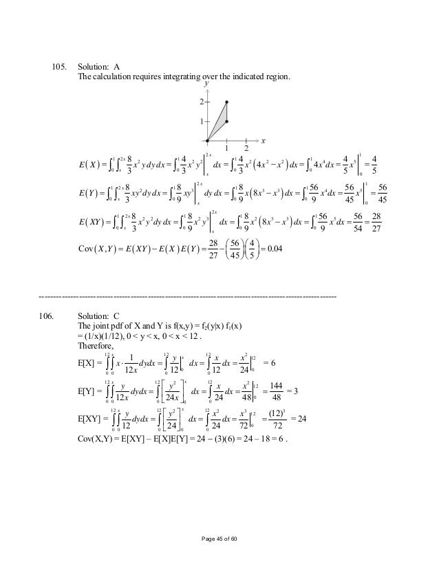
Society Of Actuariescasualty Actuarial Society Exam P4001
Click here 👆 to get an answer to your question ️ If tex e^x e^y = e^{xy}, prove \ that \ \frac{dy}{dx}=e^{yx} /tex hemashankareagl69 hemashankareagl69 Math Secondary School If 1 See answer hemashankareagl69 is waiting for your help Add your answer and earn pointsGet an answer for 'Q The solution of the differential equation `dy/dx` = `e^(y x) e^(y x)` is A) `e^y = e^x e^x c` B)` ` ```e^y = e^x e^x c` C)`e^y = e^x e^x c` D) None ofFollow Report by DRiFT6814 Log in to add a comment



Http Www Math Ust Hk Maykwok Courses Ma246 246t3new Pdf



Http Www Stat Nthu Edu Tw Swcheng Teaching Math2810 Lecture 08 Expectation Pdf
This might appear to have no solutions given y(0) = 1, but as it turns out the constant y= 1 is itself a solution 5 dy dx = e yx;y(0) = 2 e y dy= ex dx e y = c ex e y = c ex y= ln( c ex) y= ln(1 1=e ex) Note that this solution will not be de ned for all values of x, since ln(x) is only de ned for positiveClick here👆to get an answer to your question ️ If y^x = e^y x then prove that dy/dx = (1 logy )^2/logyView 05_Continuity and Differentiabilitypdf from MATHS 112 at DPS Modern Indian School Continuity and Differentiability 95 Continuity and Differentiability 05 51



How To Find Dy Dx Of E X E Y E X Y Quora



How Accurately Can You 1 Predict Y From X And 2 Predict X From Y Ppt Download
If `e^xe^y=e^(xy)` , prove that `(dy)/(dx)=(e^x(e^y1))/(e^y(e^x1))` or, `(dy)/(dx)e^(yx)=0`Class12science » Maths Class12commerce » Maths Class12humanities » Maths Continuity and Differentiability if e x e y =e xy,prove that dy/dxe yx =0 Share with your friendsIf Y X E X 2 Find Dy Dx Math Meritnation Com For more information and source, see on this link https//wwwmeritnationcom/askanswer/question/ifyxex



Solve The Differential Equation Ye X Y Dx Xe X Y Y 2 Dy Y 0 Mathematics Shaalaa Com



Solve The Following Differential Equation E Xy Dy Dx Chegg Com
If e x e y = e x y, prove that dy/dx e y x = 0 continuity and differntiability;Solve the Differential Equation dy/dx=e^ (xy) In this tutorial we shall evaluate the simple differential equation of the form d y d x = e ( x – y) using the method of separating the variables The differential equation of the form is given as d y d x = e x – y ⇒ d y d x = e x e – y ⇒ d y d x = e x e yE^xe^y=e^xy, prove that dy/dxe^yx=0 Report ;



Find The Gradient Of The Function F X Y Xe Xy At Chegg Com



Worked Example Implicit Differentiation Video Khan Academy
if exey=exy,prove that dy/dxeyx=0 Maths Continuity and Differentiability NCERT Solutions;👍 Correct answer to the question Which of the following is the solution to the differential equation dy/dx=e^(yx) with initial condition y(0) = ln4 A) y= xln4 B) y=xln4 C) y = ln(e^x5) D) y = ln(e^x3) E) y = ln(e^x3) eeduanswerscomHow is vsepr used to classify molecules?



If E X E Y E X Y Then Prove That Dy Dx E Y X



Ex 5 5 15 Find Dy Dx Of Xy E X Y Class 12 Ex 5 5
求微分方程dy/dxy=e^ x的通解,答案是y=(xc)e^ x求过程,急 _____ y'y=e^x是常系数线性非齐次方程法一求出齐次方程y'y=0的通解为y=Ce^x再求y'y=e^x的一个特解,设解为y=Cxe^x代入得C=1,即y=xe^x为一特解所以该方程解为y=Ce^xxe^x=(xC)e^x法二方程变形为y'e^xFree implicit derivative calculator implicit differentiation solver stepbystepGet answer अगर `e^xe^y=e^(xy)` , साबित करो `(dy)/(dx)=(e^x(e^y1))/(e^y(e^x1))` या, `(dy)/(dx)e^(yx)=0`



What Is Dy Dx If E Xy 4xy 0 Quora



Http Www Le Ac Uk Users Dsgp1 Courses Leistats Lecture6 Pdf
Answer to For the implicit function given below, show that \\frac{dy}{dx} = e^{y x}, e^x e^y = e^{x y} By signing up, you'll get thousands🔴 Answer 3 🔴 on a question Which of the following is the solution to the differentiable equation dy/dx=e^yx with the initial condtion y(0)=ln(4) the answers to brainsanswerscouk (dy)/(dx)=(e^x(e^y1))/(e^y(1e^x)) Differentiating e^xe^y=e^(xy) e^xe^y(dy)/(dx)=e^(xy)(1(dy)/(dx)) or e^xe^y(dy)/(dx)=e^(xy)e^(xy)(dy)/(dx) or e^y(dy)/(dx)e^(xy)(dy)/(dx)=e^(xy)e^x or (e^ye^(xy))(dy)/(dx)=(e^(xy)e^x) or (dy)/(dx)=(e^(xy)e^x)/(e^ye^(xy))=(e^x(e^y1))/(e^y(1e^x))



If X Y E X Y What Is Dy Dx Quora



If X Y E X Y Show That Dy Dx Logx Log Xe 2 Sarthaks Econnect Largest Online Education Community
Find the derivative of $$e^xe^y=e^{xy}$$ A $$e^{xy}$$Find dy/dx e^(x/y)=xy Differentiate both sides of the equation Differentiate the left side of the equation Tap for more steps Differentiate using the chain rule, which states that is where and Tap for more steps To apply the Chain Rule, set asE^x e^ydy/dx = e^ (xy) (1dy/dx) e^x e^ (xy) = dy/dx {e^ (xy) e^y} So dy/dx = {e^x e^ (xy)}/ {e^ (xy)e^y} 14K views · View upvotes Sponsored by Pitbulls Center Care and services for pit bulls Join us if you enjoy helping and sheltering homeless pit bulls



The General Solution Of The Differential Equation Dy Dx E X



Ex 9 4 23 General Solution Of Dy Dx E X Y Is A E X E Y C
ANSWER Related Questions Show that the relation is R in the set R of real numbers, defined as R={(a, b)a=b2 } is neither reflexive nor symmetric nor transitive Report ;常微分方程dy/dx=e^(x-y)的通解为ln(e^xc1)。 解答过程如下: dy/dx=e^x/e^y e^ydy=e^xdx e^y=e^xc1 y=ln(e^xc1) 一阶微分方程的普遍形式 dy/dx=e^xyx^2e^y dy/dx= (e^xx^2)/e^y e^ydy= (e^xx^2)dx integrate both sides integral e^ydy=integral (e^xx^2)dx e^y=e^xx^3/3c i hope this is correct



Www Usna Edu Users Math Hottovy Files Documents Sm316 431 Hw9s Pdf



Find The Exact Coordinates Of The Centroid Where Y E X Y 0 X 0 X 3 Mathskey Com
Solution dy/dx=e^yxe^yx dy/dx equls to e two the power yx plus e two the power yx You need to factor out e^y to the right side such that (dy)(dx) = e^y(e^x e^(x)) You need to separate the variables x and y, hence, you need to divide by e^y and you need view the full answer Previous question Next question Get more help fromFirst, I separated to $ \frac{dy}{(e^y)}= dx(e^x)$ Then I integrated both sides, which gave me $ e^{y} = e^x K$ Here I am stuck?Get answer if y=(e^(x)),(1e^(x)) find (dy),(dx) Apne doubts clear karein ab Whatsapp par bhi Try it now



How Accurately Can You 1 Predict Y From X And 2 Predict X From Y 6 4 9 2 9 5 1 9 4 Y 1 9 3 1 9 2 1 1 2 3 4 X 5 6 Slideshow And Powerpoint Viewer How Accurately Can You 1 Predict



Dx X Y 1 Dy 0 Novocom Top
Y = ln(e^x 5) Stepbystep explanation I assume you mean dy/dx = e^(y x) Use exponent properties dy/dx = (e^y) (e^x) Separate the variables e^(y) dy = e^x dx Integratee^(y) = e^x C Solve for y e^(y) = e^x − Cy = ln(e^x − C) y = ln(e^x − C) Use initial condition to solve for Cln 4 = ln(e^0 − C) 4 = 1 − CAnswer 1 📌📌📌 question Which of the following is the solution to the differential equation dy/dx=e^(yx) with initial condition y(0) = ln4 A) y= xln4 B) y=xln4 C) y = ln(e^x5) D) y = ln(e^x3) E) y = ln(e^x3) the answers to myanswerhelpercomThis is the Solution of Question From RD SHARMA book of CLASS 12 CHAPTER DIFFERENTIAL EQUATIONS This Question is also available in R S AGGARWAL book of CLASS



Solve The Given Differential Equation By Using An Chegg Com



Assignment 3 Solution Ryerson University Courses Ee8103 Assign3 3 Solution 1 Solution For Q1 From Y A X We Have Dy Dx A X2 X A Y And fl fl fl
{e^(xy)e^x}dx{e^(xy)ey}dy=0原方程化为 e^x /(e^x1) dx e^y /(e^y1) dy=0 ①全微分方程,通ln(e^x1)ln(e^y1)=C1即 (e^x1)(e^y1) = C e∧xye∧ydxye的2xy次方的通解exyexdxyxyay2y的通解y2y3y0的通解dydxe2xyye2xyxdy2ydx0e^(xy)e^xdxe^(xy)e^ydy=0的特解搜狗问问The solution of the differential equation dy/dx = e x–y x 2 e –y is (A) y = e x–y – x 2 e –y c (B) e y – e x = x 3 /3 c e y e x = x 3 /3 c (D) e x – e y = x 3 /3 cLet y = x^x Then y = e^ln (x)^x = e^ ln (x)*x, where e is the base of natural logarithms Let u = ln (x)*x Then y = e^u So dy/du = e^u = y = x^x Also, by the product rule, du/dx = ln (x) * (dx/dx) x * {d ln (x)/dx} = ln (x)*1 x* (1/x) = ln (x)1 (provided x ≠ 0) So, by the chain rule



Ex 9 5 10 Show Homogeneous 1 Ex Y Dx E X Y 1 X Y



Qeg9y5zveksyvm
=E(X)E(Y) 119 ForcontinuousrandomvariablesX andY,wecanshow E(X Y) = ∞ −∞ ∞ −∞ (x y)f xy(x,y)dx dy = ∞ −∞ ∞ −∞ xf xy(x,y)dx dy ∞ −∞ ∞ −∞ yf xy(x,y)dx dy =E(X)E(Y) 1 2 Theorem E(XY) =E(X)E(Y), when X is independent of Y Proof For discrete random variables X and Y, E(XY) = i j x iy j f xy(x i,y j y = ln(e^x 5) Stepbystep explanation I assume you mean dy/dx = e^(y x) Use exponent properties dy/dx = (e^y) (e^x) Separate the variables e^(y) dy = e^x dx Integratee^(y) = e^x C Solve for y e^(y) = e^x − Cy = ln(e^x − C) y = ln(e^x − C) Use initial condition to solve for Cln 4 = ln(e^0 − C) 4 = 1 − CWhat is the lewis structure for co2?



If Xy E X Y Then Prove That Dy Dx Log X 1 Log X 2 Sarthaks Econnect Largest Online Education Community



If Y Ex Sin X Prove That D2y Dx2 2 Dy Dx 2y 0 Explain In Great Detail Mathematics Topperlearning Com 5p09j033
追答 哦,对不起 e^(y)=Ce^x 所以y=ln(Ce^x) 本回答被提问者采纳Posted by Sonam Rathore 3 years ago CBSE > Class 12 > Mathematics 0 answers;If e^xe^y=e^xy, prove that dy/dxe^yx=0 Ask questions, doubts, problems and we will help you menu myCBSEguide Courses CBSE Entrance Exam Competitive Exams ICSE & ISC Teacher Exams UP Board Uttarakhand Board Features Online



Solve The Differential Equation X Dy Dx Y Xe X Chegg Com



Http Www Mysmu Edu Faculty Anthonytay Notes Conditional Distributions Pdf



Matrix Exponential Wikipedia



Independence Of Random Variables Ppt Video Online Download



How Do You Differentiate E Xy Use Implicit Differentiation Youtube



Solution What Is The First Derivative Of The Expression Xy X E



Solution Of X Dy Dx Y Xe X Is A Xy E X X 1 C B Xy E X X 1 C C Xy E X 1 X C Youtube



Ch4



Www Math Purdue Edu Stindel Teaching Ma539 Cdt Expectation 2 Pdf



If Y X E Y X Then Prove Dy Dx 1 Logy 2 Logy Mathematics Topperlearning Com Tufyw55



Chapter 7 Properties Of Expectation Question 4



1 E X Y Dx E X Y 1 X Y Dy 0 Novocom Top



Solve Dy Dx E X Y X 2e Y Youtube



Answered 8 What Is Dy Dx Of Ye Xy Y Ye A Y Bartleby



Ppt 4 3 Covariance Correlation Powerpoint Presentation Free Download Id



The Solution Of The Differential Equation Dy Dx 1 E X Y I



Solving Separable Differential Equations Calculus Socratic



If Ex Ey Ex Y Then Dy Dx Quora



How Accurately Can You 1 Predict Y From X And 2 Predict X From Y 6 4 9 2 9 5 1 9 4 Y 1 9 3 1 9 2 1 1 2 3 4 X 5 6 Slideshow And Powerpoint Viewer How Accurately Can You 1 Predict



Http Www Maths Qmul Ac Uk Lr Mth5118 Notes7 Pdf



Pdf Differential Equations



What Is The Solution Of The Differential Equation Dy Dx 1 E X Y Quora



Www Math Uh Edu Almus 43 De Part1 After Pdf



University Of Calicut School Of Distance Education Pdf Free Download



Misc 10 Solve Y Ex Y Dx Ex Y Y2 Dy Chapter 9 Class 12



Exponential Function Wikipedia



In Problems 1 26 Solve The Given Differential Chegg Com



Tch Prob1 Chapter 4 Multiple Random Variables Ex Select A Student S Name From An Urn S In Some Random Experiments A Number Of Different Quantities Ppt Download



Solve The Separable Differential Equation Dy Dx Chegg Com



X Y E X Y So Prove That Dy Dx Logx 1 Logx 2 Youtube



Solve The Differential Equation Dy Dx Exp X Y Exp X Exp Y Youtube



1 The Joint Probability Density Function Pdf Of X And Y Is Given By Fxy X Y Homeworklib



If E X E Y E X Y Prove That Dy Dx E Y X 0 Sarthaks Econnect Largest Online Education Community



Implicit Differentiation Advanced Example Video Khan Academy



Http Www Csun Edu Dvanalp Ece 450 Ece 450 Hw Sp 15 Ece 450 Hw3 Solutions V4 Sp 15 Complete Pdf



Misc 18 General Solution Ex Dy Y Ex 2x Dx 0 Miscellaneous



Bkict Ocw Knu Ac Kr Include Lecturedownload Xdo Lectid 715 Fn 591d5fdb8be21 Pdf



Solution Of X Dy Dx Y Xe X Is A Xy E X X 1 C B Xy E X X



Find The General Solution Of The Differential Equation Dy Dx 1x E Y X Brainly In



Implicit And Logarithmic Differentiation



If Yx Ey X Prove That Dy Dx 1 Log Y 2 Log Y Studyrankersonline



Solution What Is The First Derivative Of The Expression Xy X E



Ye X Ydx Xe X Y Y 2 Dy Maths Questions



Solve D 2 3d 2 Y E E X Using Method Of Variation Of Parameters Mathematics Stack Exchange



Www Tau Ac Il Levant Ode Solution 6 Pdf



Ocw Mit Edu Courses Economics 14 30 Introduction To Statistical Methods In Economics Spring 09 Assignments Mit14 30s09 Sol Pset06 Pdf



Solve Dy Dx E X Y X E Y Ans Brainly In



If E X E Y E X Y Prove That Dy Dx E Y X 0



Differentiation And Integration The Natural Exponential Function



The Solution Of Dy Dx Y E X Y 0 0 Is Studyrankersonline



Ex 5 5 15 Find Dy Dx Of Xy E X Y Class 12 Ex 5 5



If The Solution Of The Differential Equation X Dy Dx Y X E X B E X Y E X Phiv X C Th Youtube



If X Y E X Y What Is Dy Dx Quora



1 E X Y Dx E X Y 1 X Y Dy 0 Novocom Top



How Accurately Can You 1 Predict Y From X And 2 Predict X From Y 6 4 9 2 9 5 1 9 4 Y 1 9 3 1 9 2 1 1 2 3 4 X 5 6 Slideshow And Powerpoint Viewer How Accurately Can You 1 Predict



Dy Dx Xe Y X How Can I Solve The Above Differential Equation Quora



Implicit And Logarithmic Differentiation



Dy Dx Ex Y Ex Ey Integrate



Chapter 4 Chapter 4 Pairs Of Pairs Of Pairs Of Random



General Solution Of Differential Equation Y 3y E X Mathematics Stack Exchange



Http Www2 Johnabbott Qc Ca Math Gr Cal C1ns C1 Impdf Pdf



Http Www Math Ualberta Ca Xinweiyu 334 1 11f 334 1 11 Hw2 Sol Pdf



Show That The Differential Equation Xe Y X Y Dx X Dy Is Homogeneous Sarthaks Econnect Largest Online Education Community



Implicit Differentiation Advanced Example Video Khan Academy



The Solution Of Differential Equation Dy Dx E X Y X 2



If Y X E Y X Prove That Dy Dx 1 Log Y 2 Log Y Sarthaks Econnect Largest Online Education Community



Solve Dy Dx E X Y E X E Y Dot Youtube



The Solution Of The Differential Equation Dy Dx E X Y X 2e Y Is Youtube



5 Double Integrals Over Rectangular Regions Pdf Free Download



Show That The Differential Equation Xe X Y Y Dx Xdy Is Homogeneous Find The Particular Solution Of This Differential Equation Given That X 1 When Y 1



Integrating Factor Method



Www Stat Auckland Ac Nz Fewster 325 Notes Ch3 Pdf


0 件のコメント:
コメントを投稿